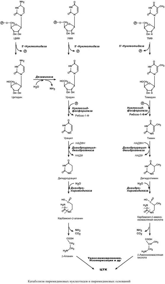
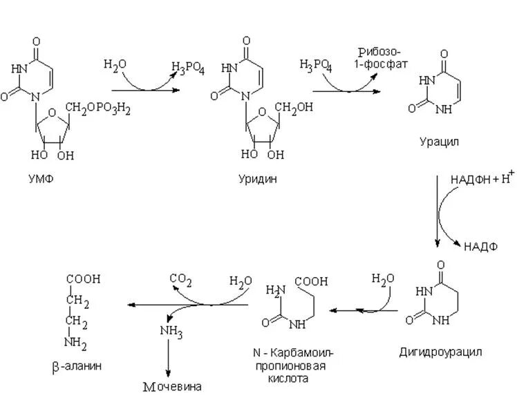
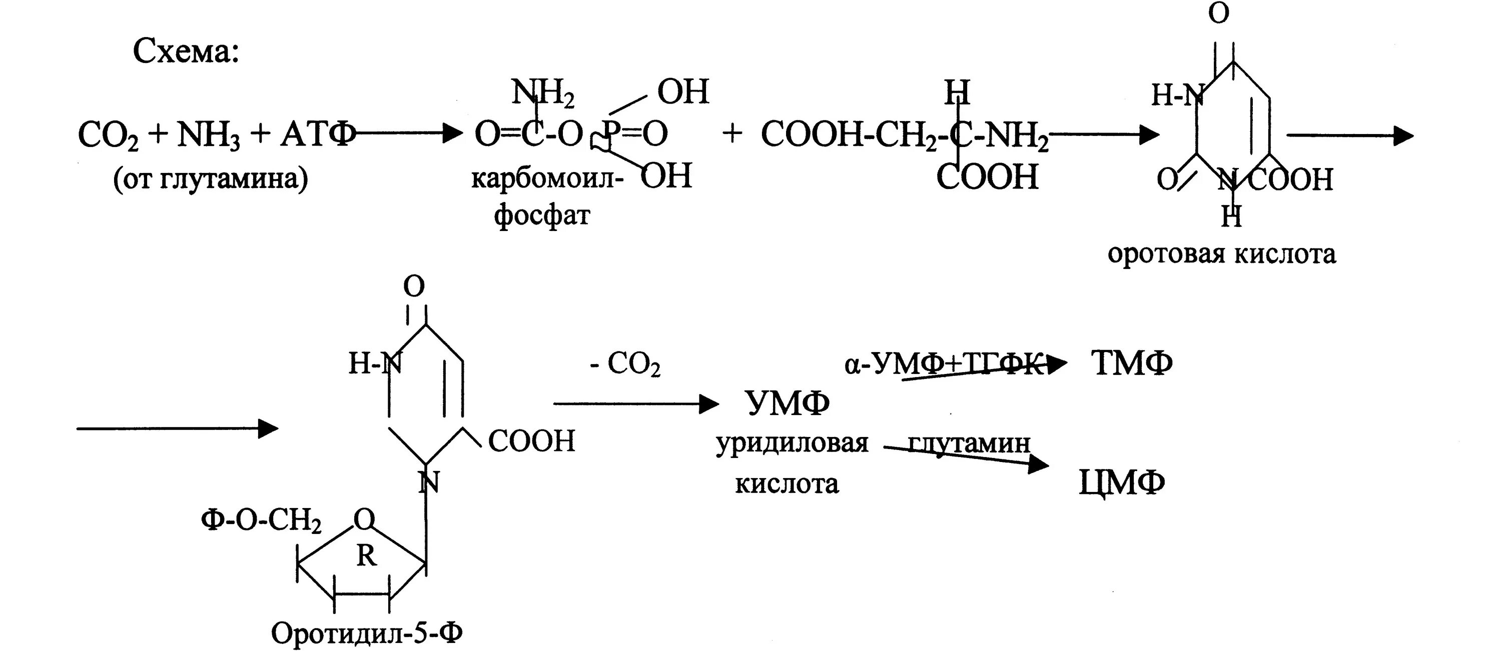
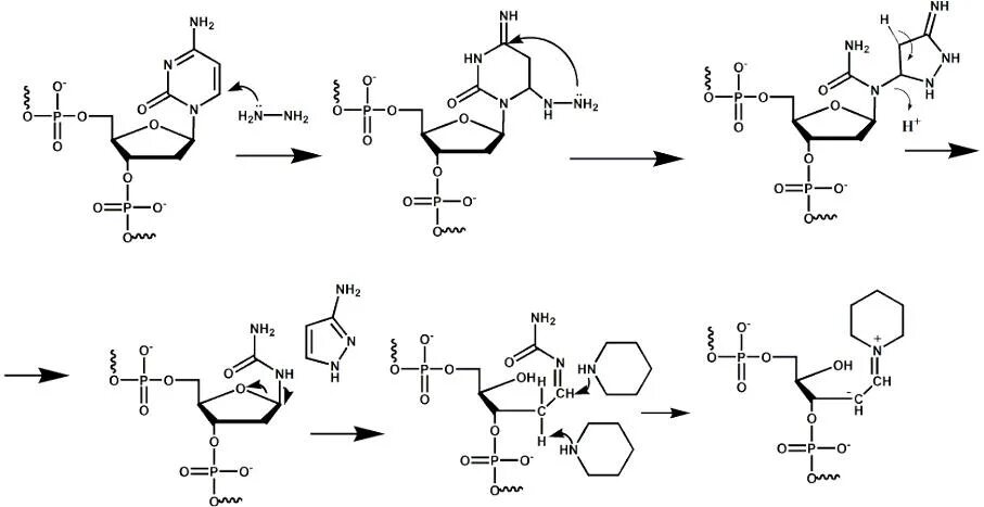
Цмф биохимия