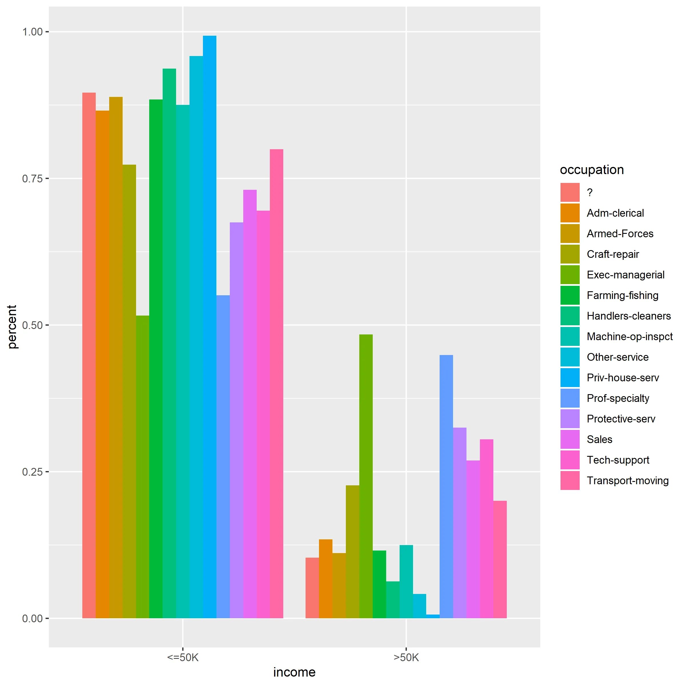
Цвета для гистограммы