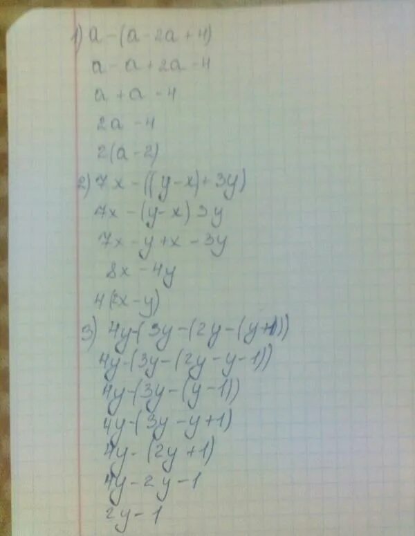
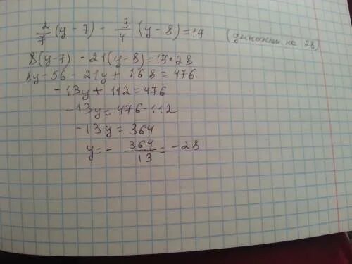
У 4 7у 4 2