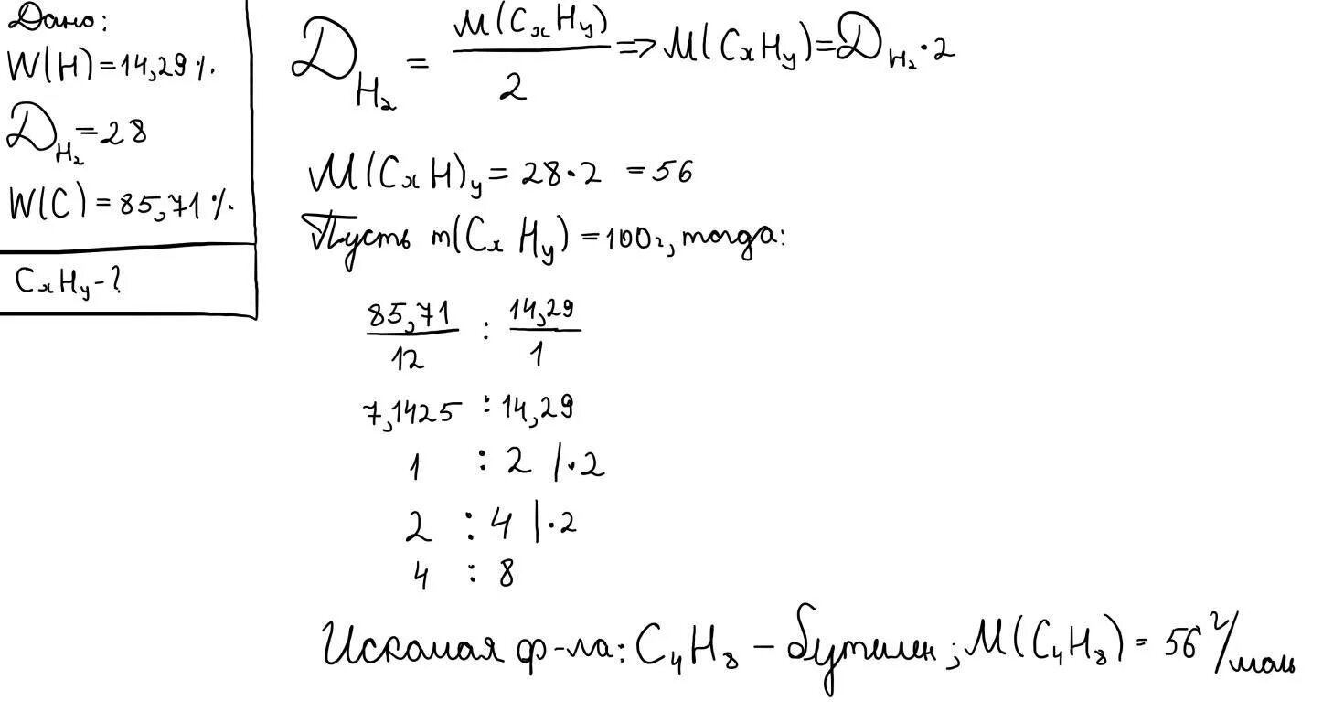
Углеводород содержащий 14 29 водорода