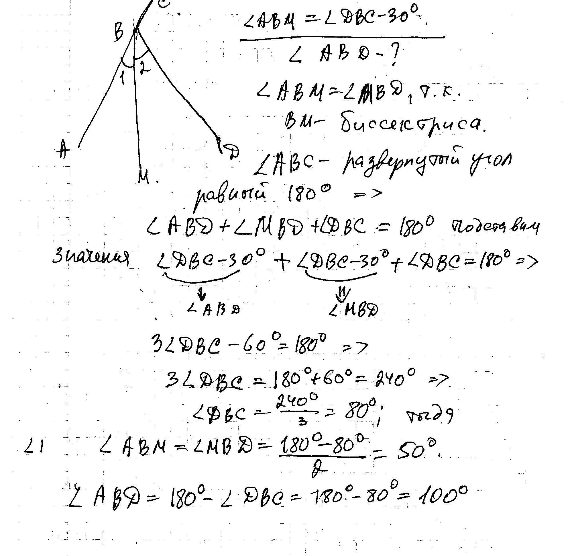
Углы abd