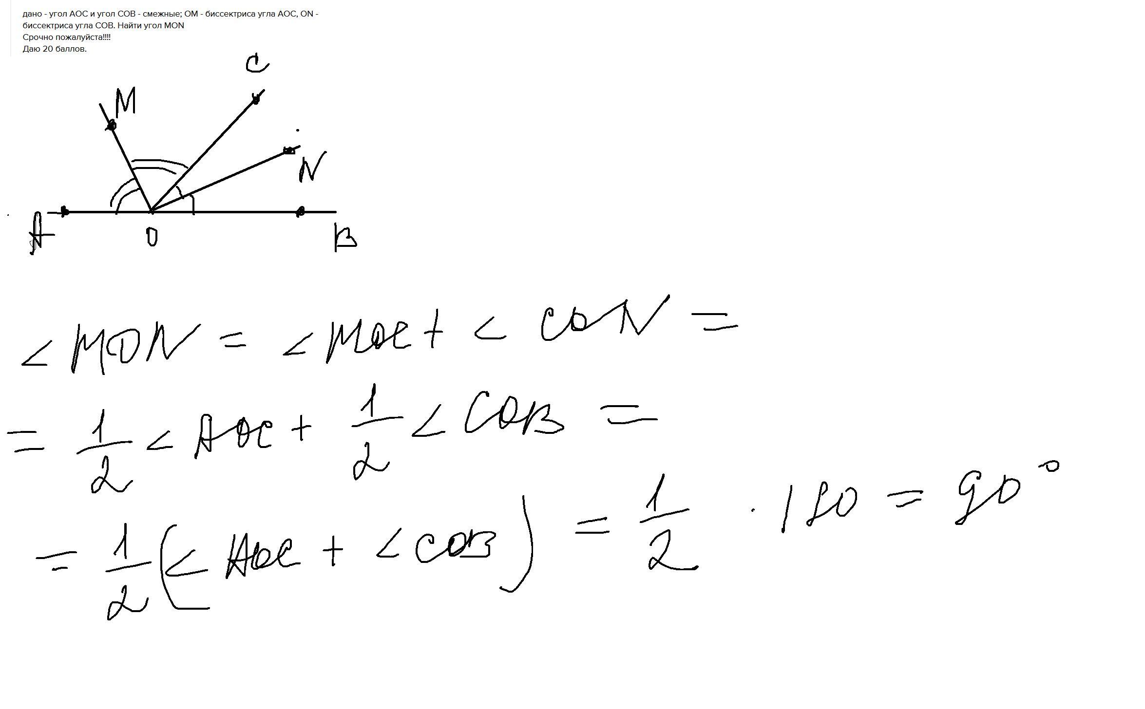
Угол aoc