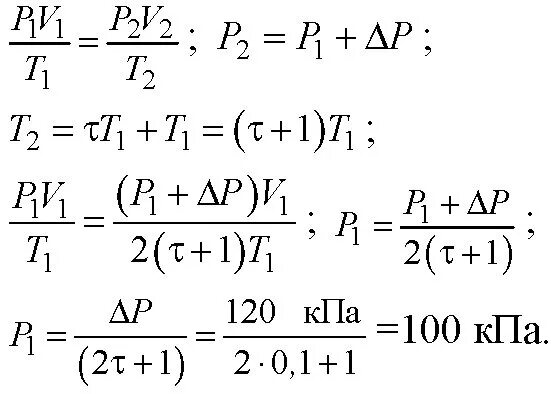
Уменьшение объема газа