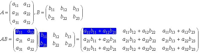
Умножение матриц 2х2