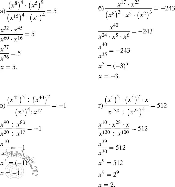
Упр 20 7