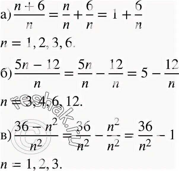
Упр 223 8