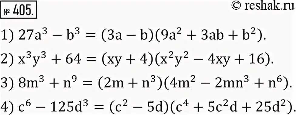
Упр 405 7 класс