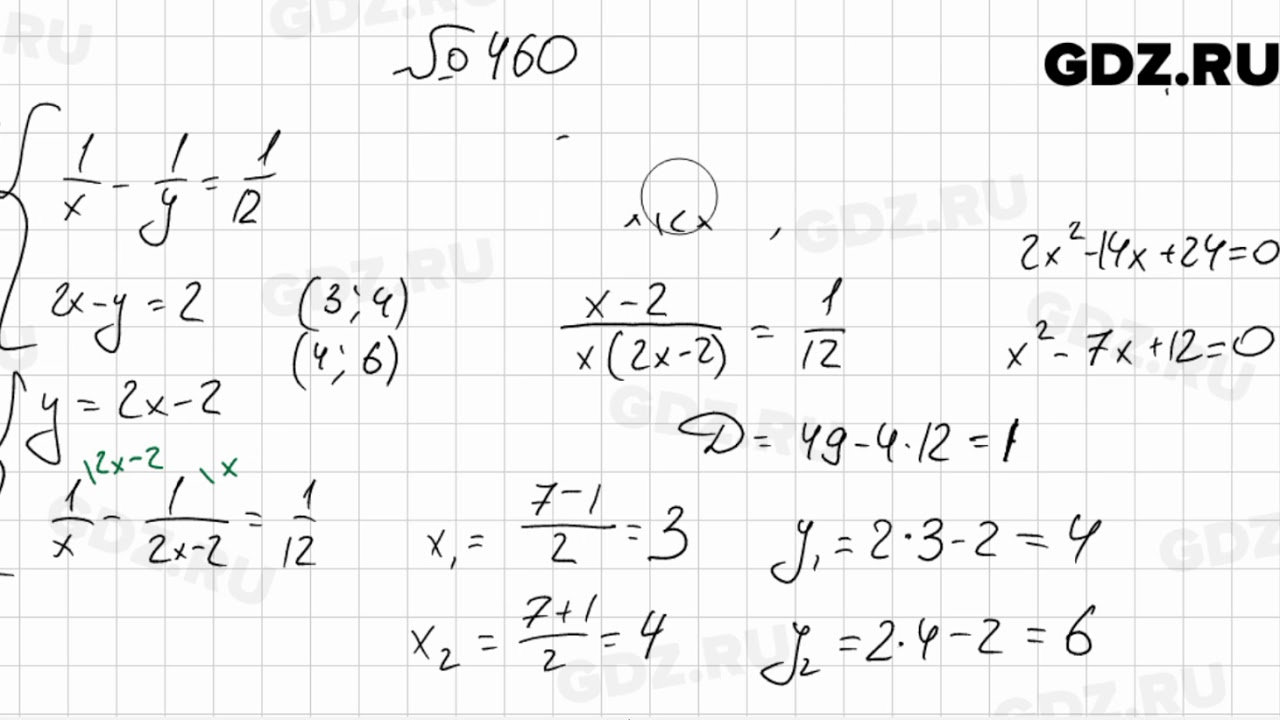
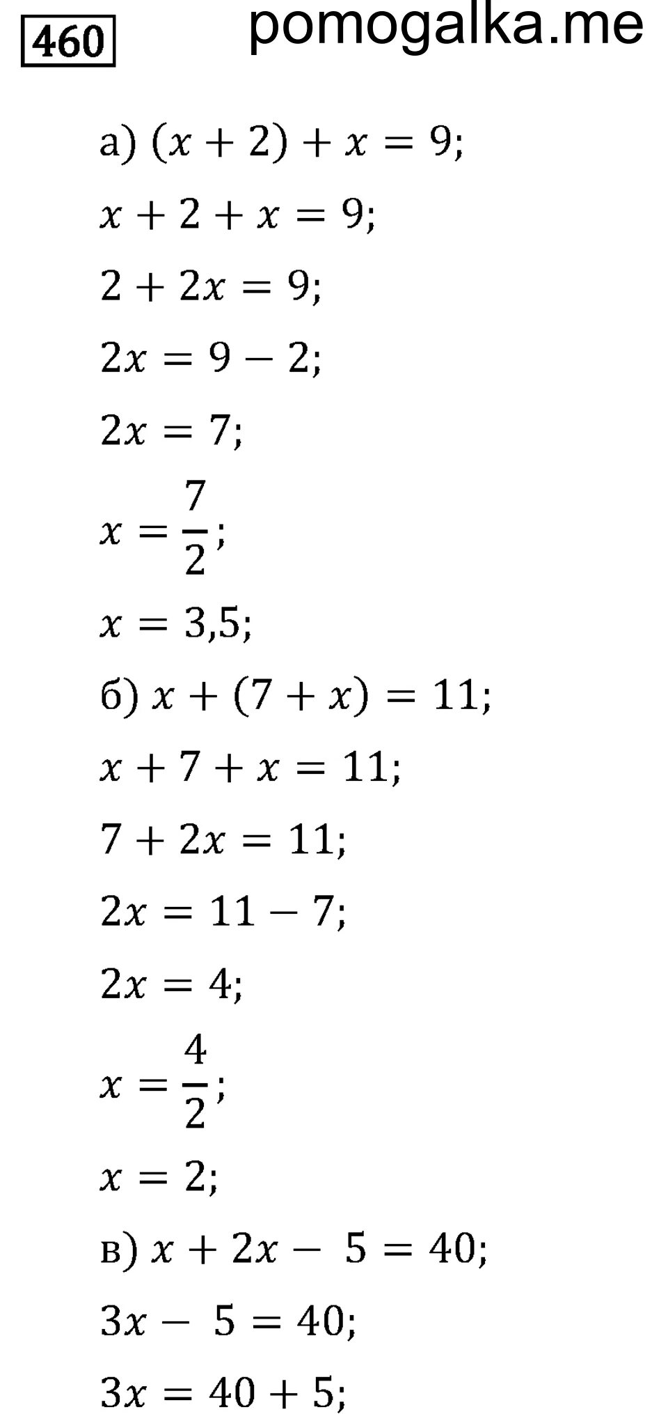
Упр 460 алгебра