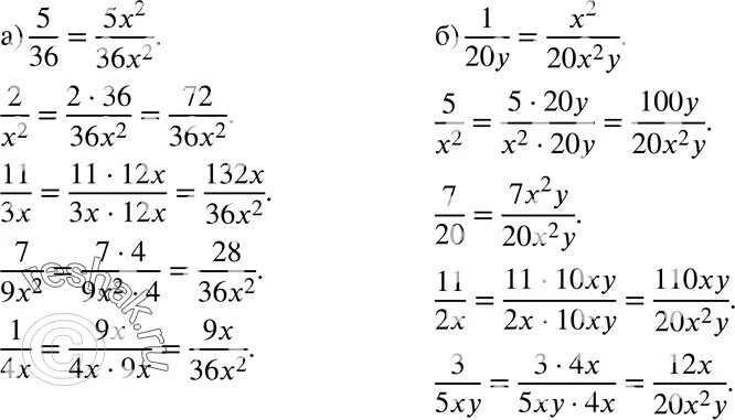
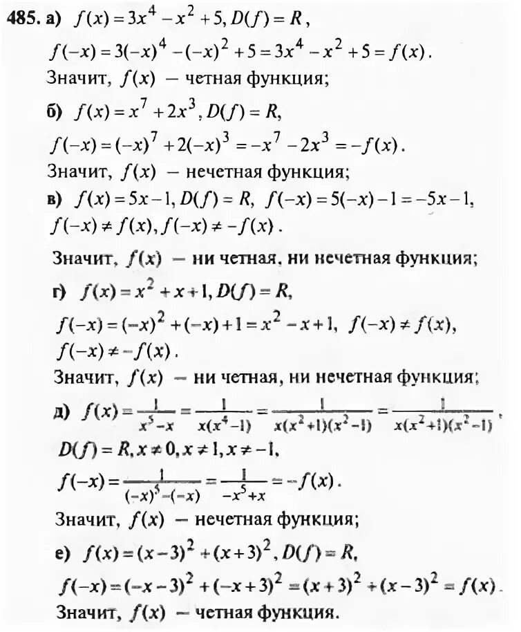
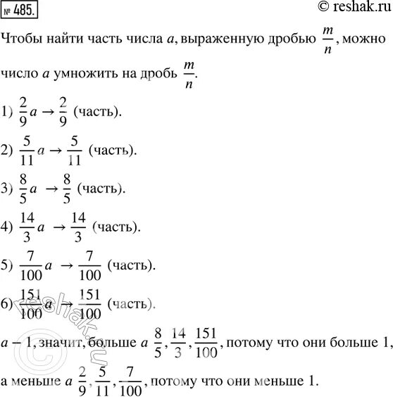
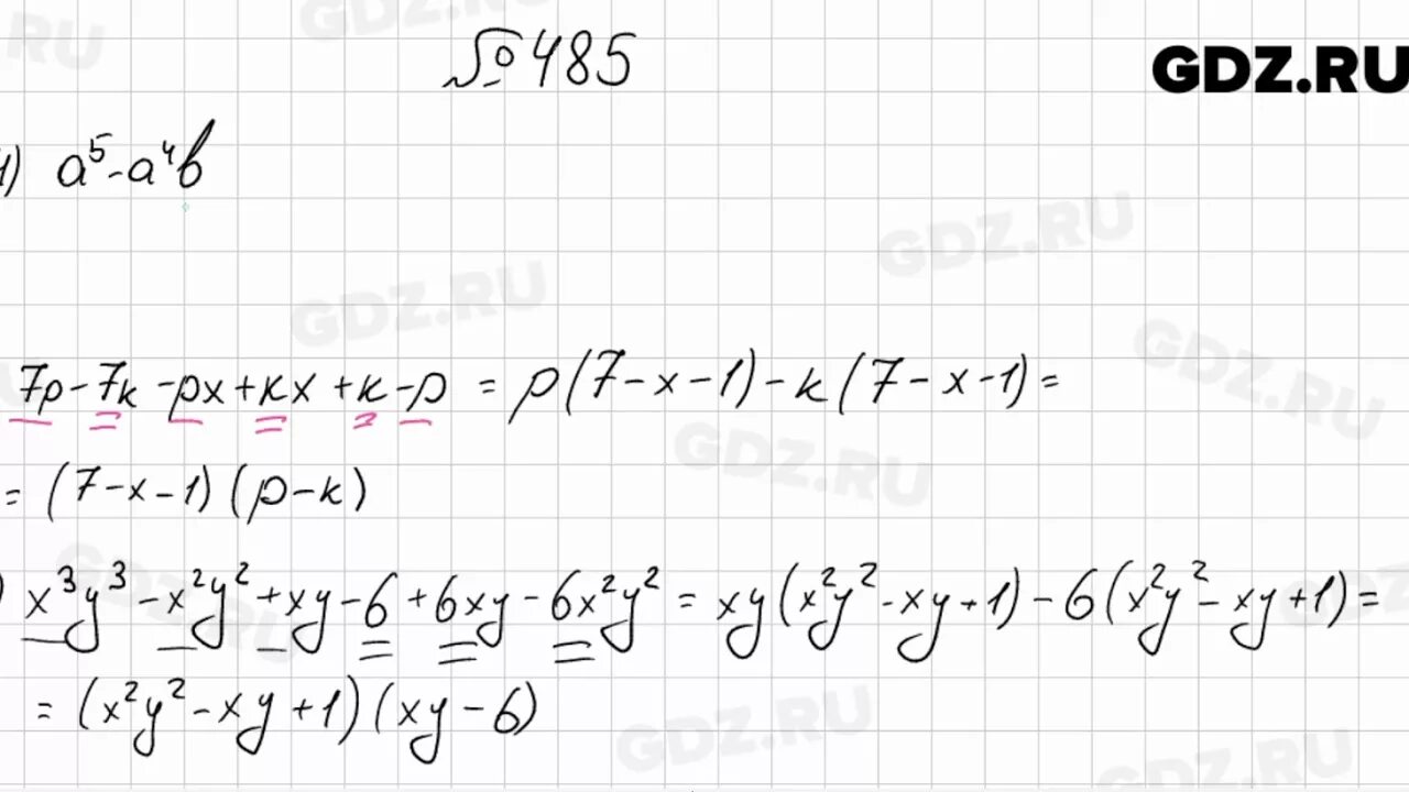
Упр 485 алгебра