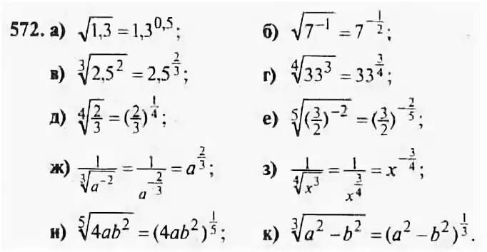
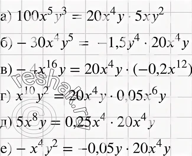
Упр 572 по алгебре 7