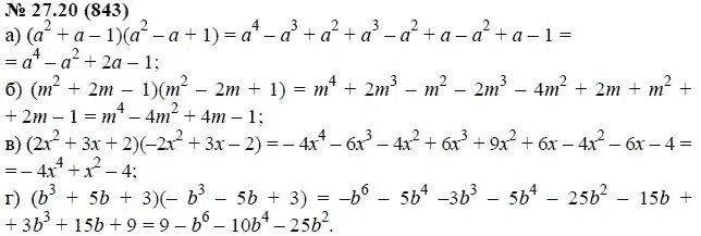
Упражнения 843