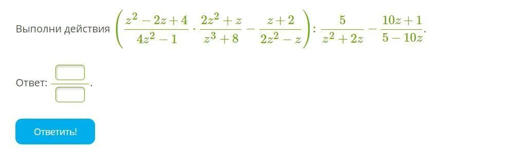
Упрости выражение 3 8 2