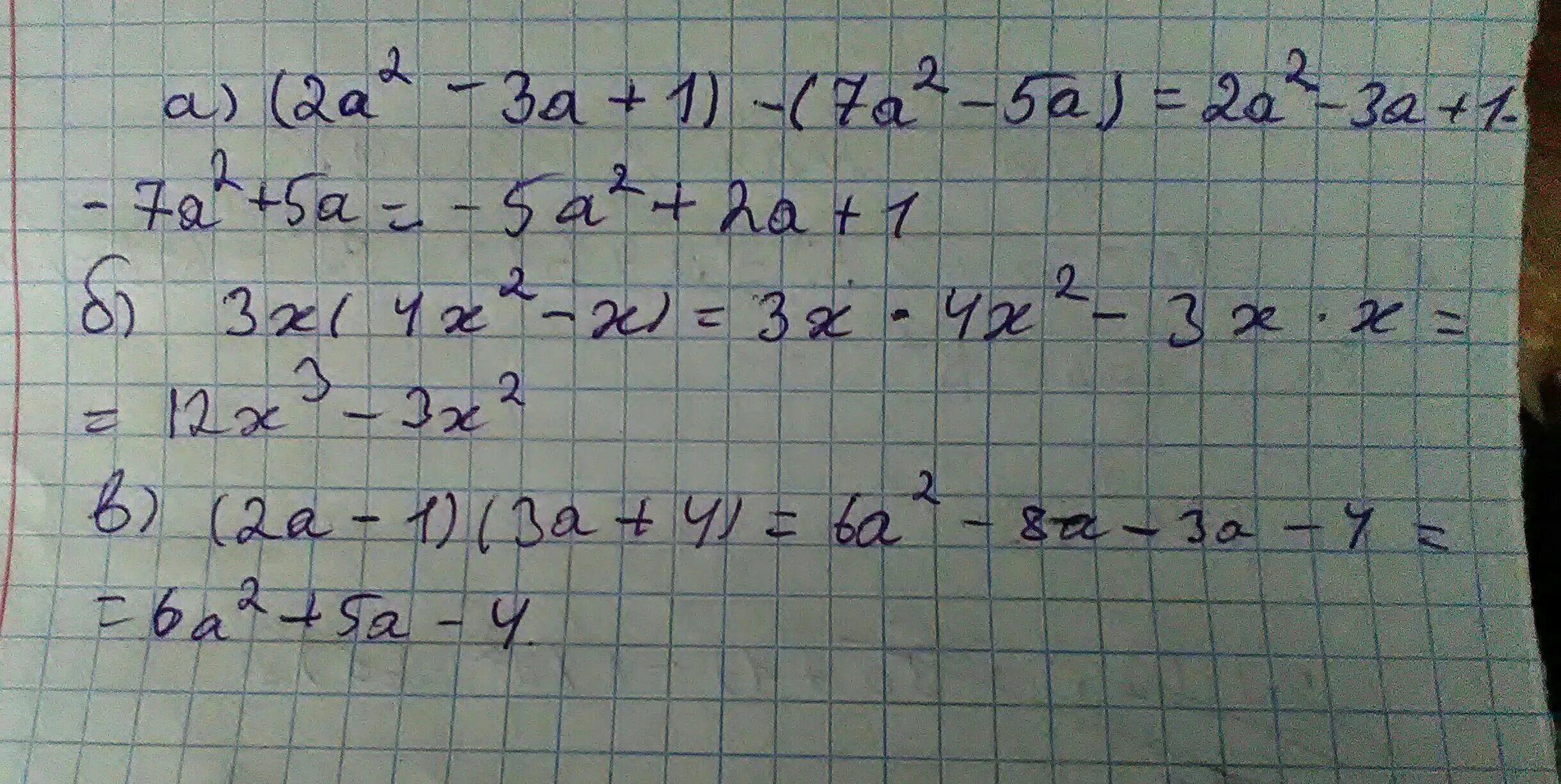
Упрости выражение 7а 4