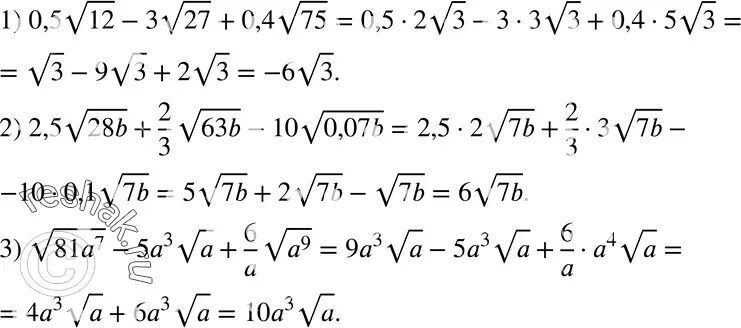
Упрости выражение корень 5 10