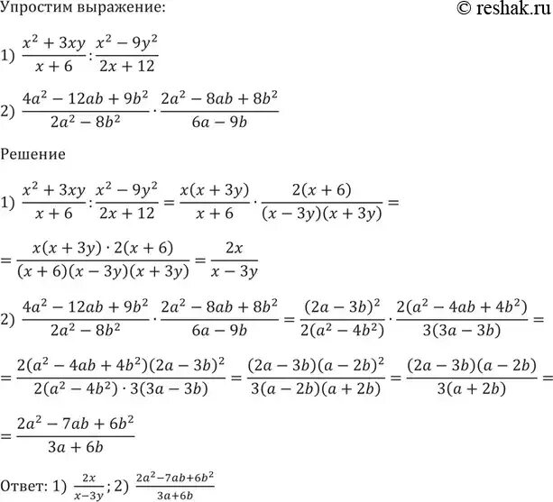
Упростить выражение 9 5 9 3