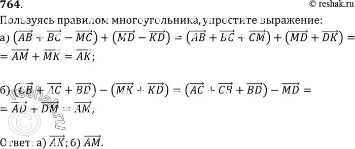
Упростить выражение ав мр см вс рк