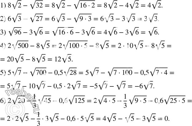
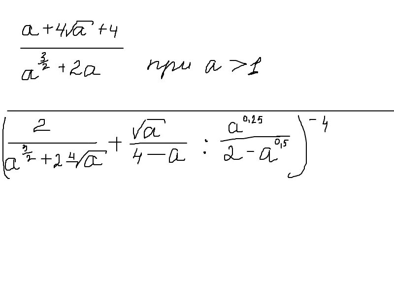
Упростить выражение корень 4 2 2