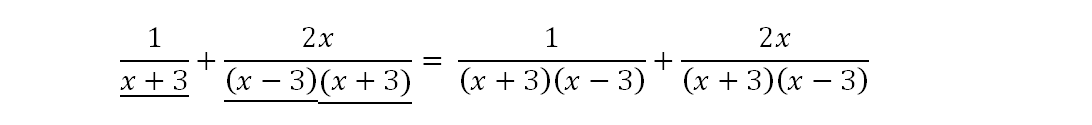
Упростить выражение y 2x y 3x