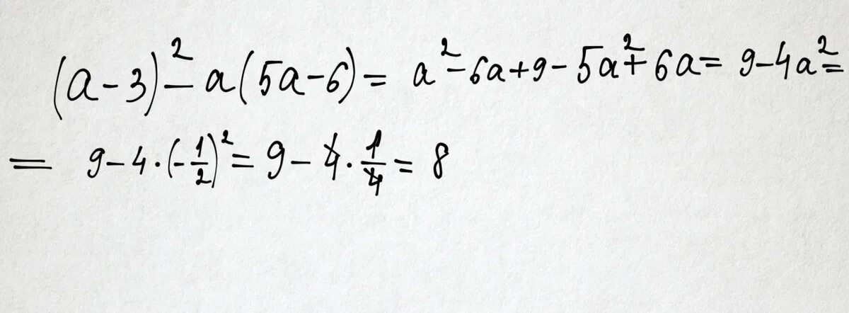
Упростите выражение 1 3 2а