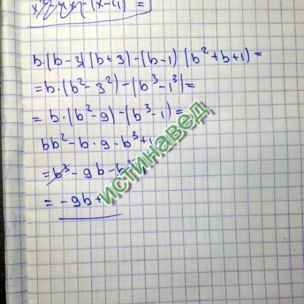
Упростите выражение 1 3b 3