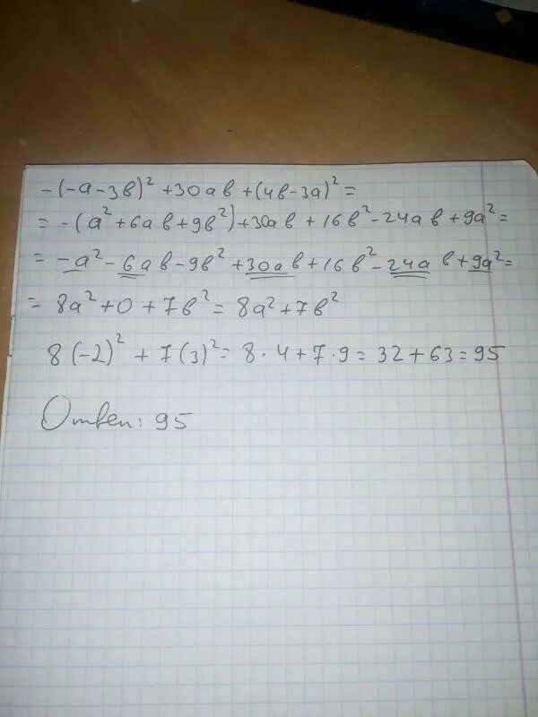
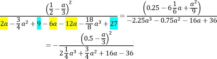
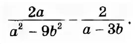
Упростите выражение 2a 2b 3 2