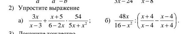
Упростите выражение 2х 1 х 3х