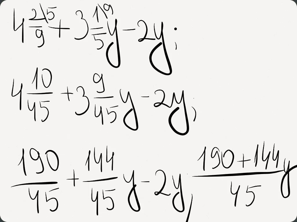
Упростите выражение 4x 5y 2 3