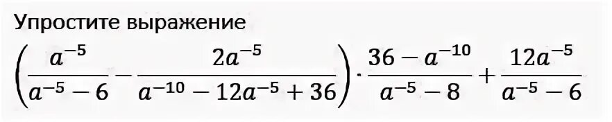
Упростите выражение 5 12 20