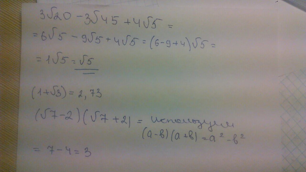
Упростите выражение 6 5 3 20