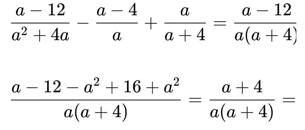
Упростите выражение a 2 3 16