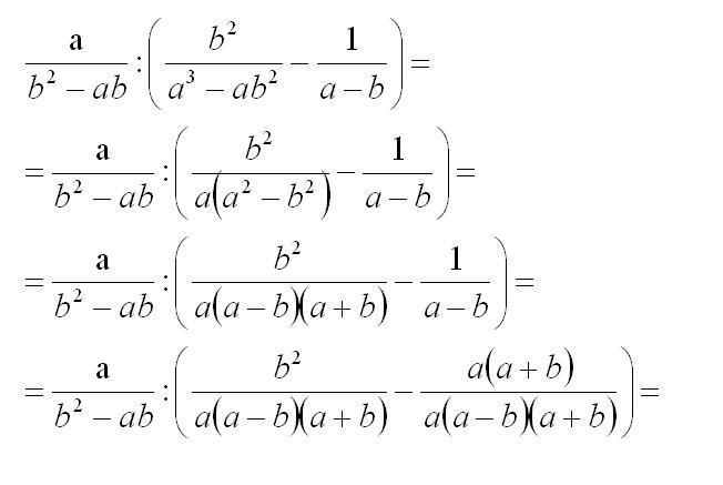
Упростите выражение a2 2ab a b