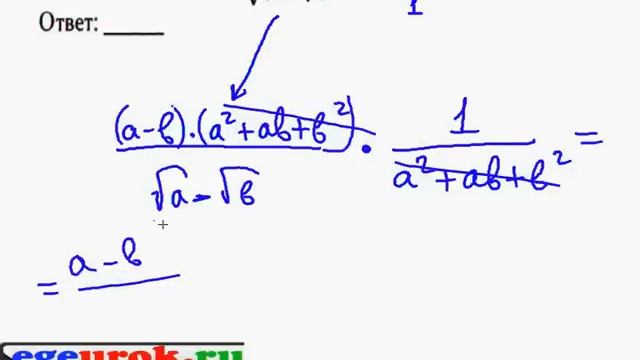
Упростите выражение огэ