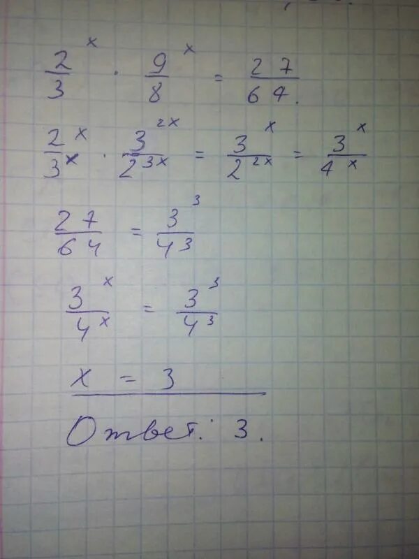
Уравнение 27 x 27 x