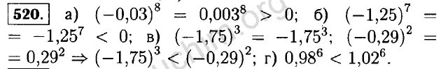
Урок сравнение значений выражений 7 класс макарычев