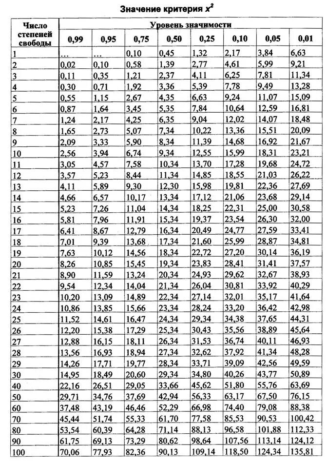
Установить уровень значимости