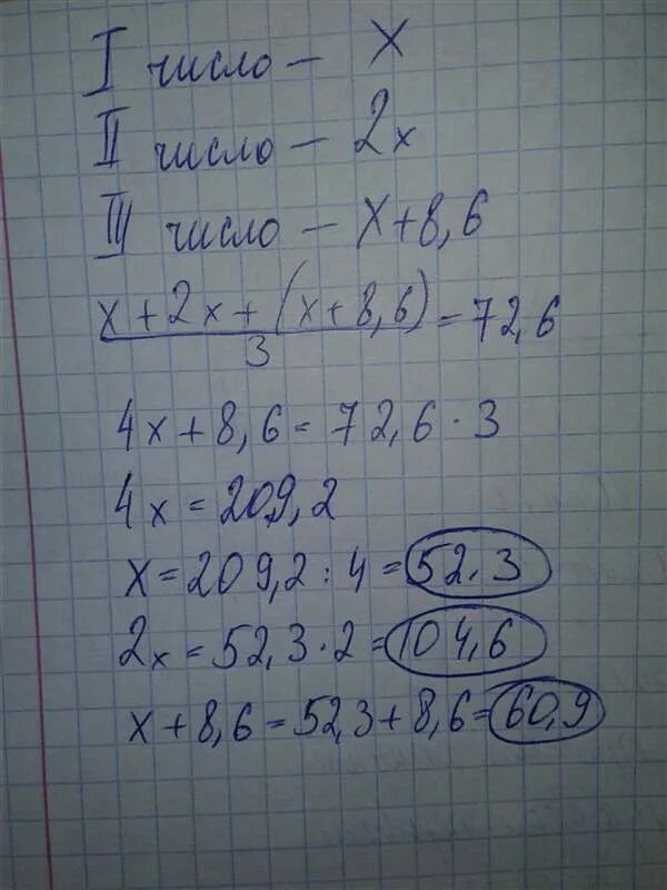
В 2 раза 05