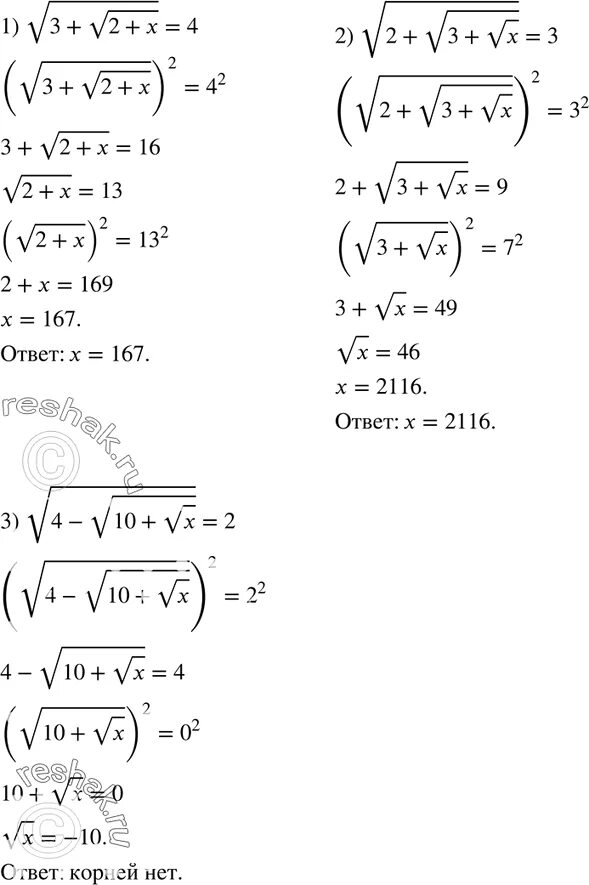
В корне 4x 1 2