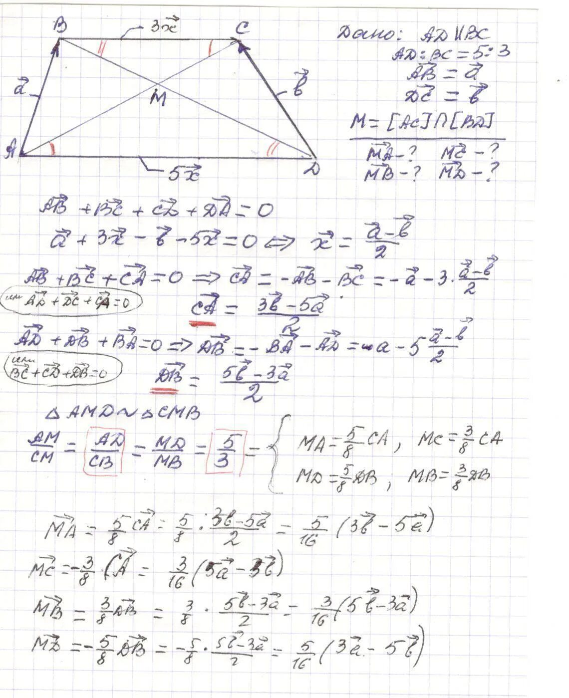
В трапеции abcd ad 4