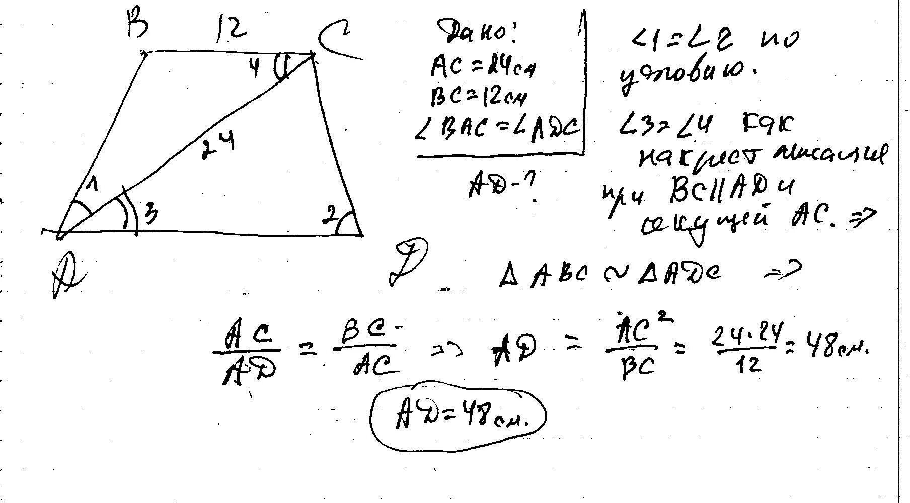
В трапеции abcd диагональ ac