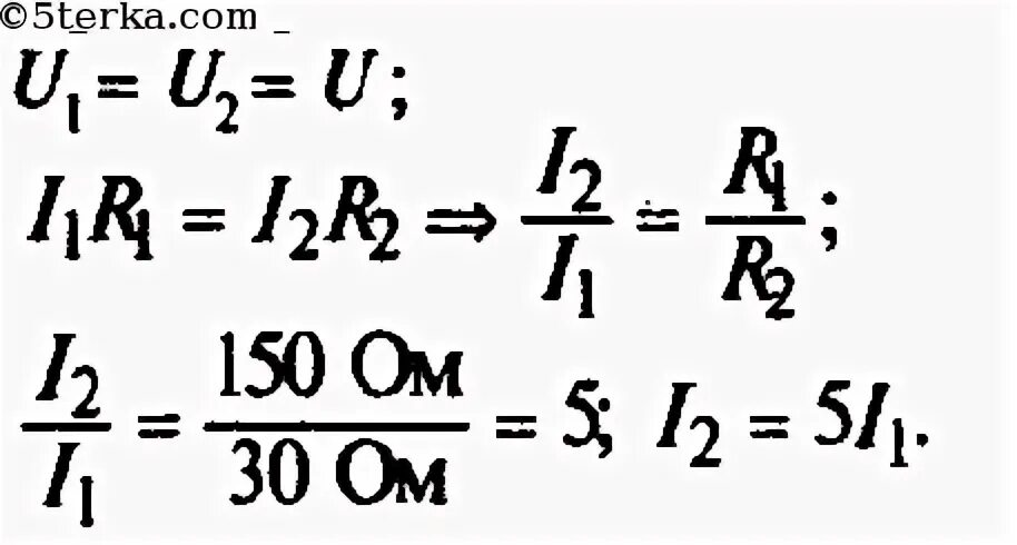
В цепь включены параллельно