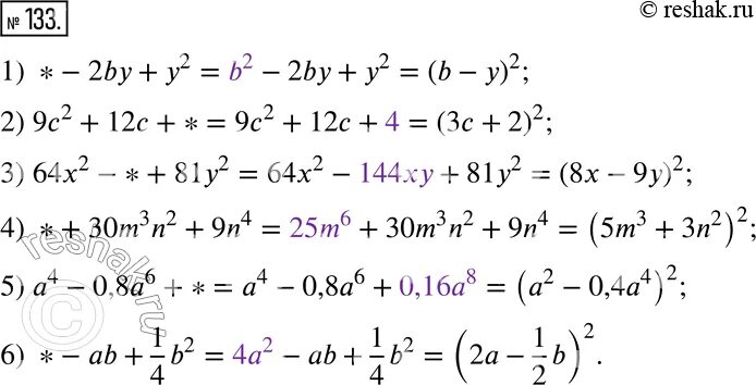
Вариант 133