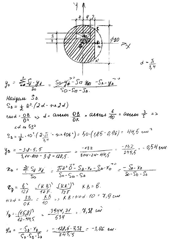
Вариант 16 профиль