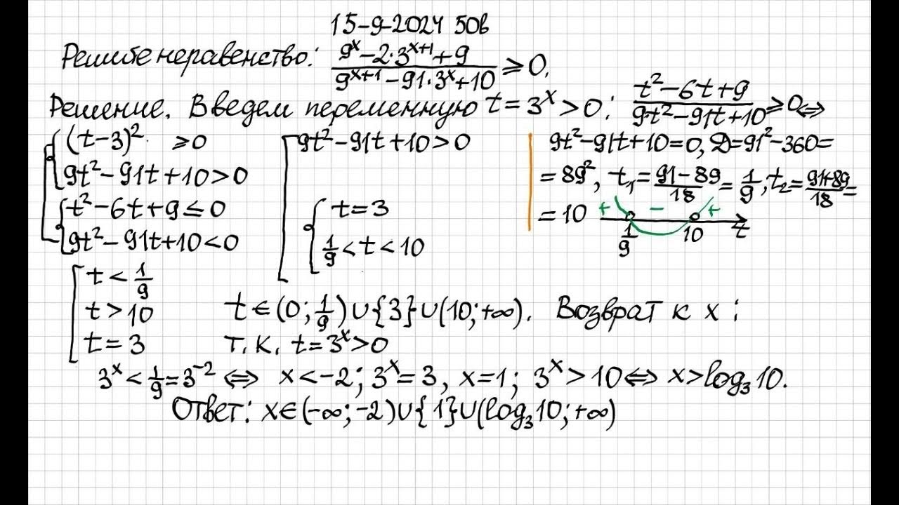
Вариант 2 основная волна 2025