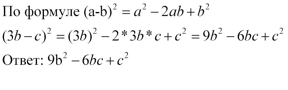
Вариант 3 преобразуйте в многочлен