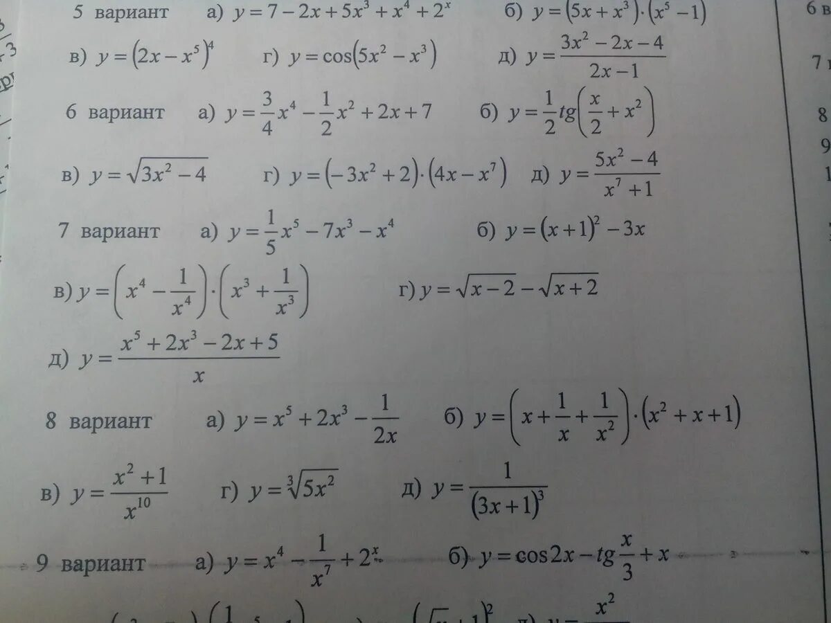
Вариант t1