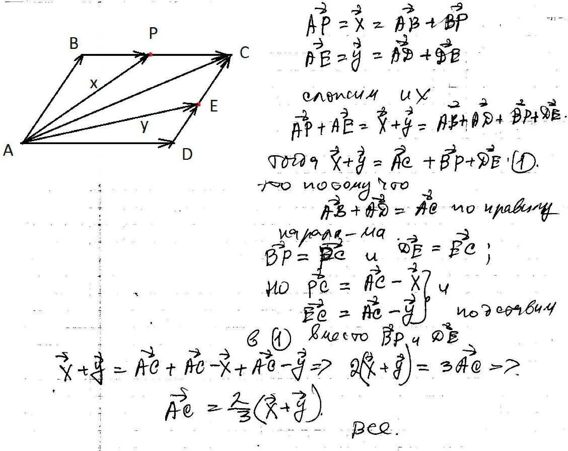
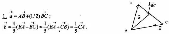
Вектор 2 ab 3 ac