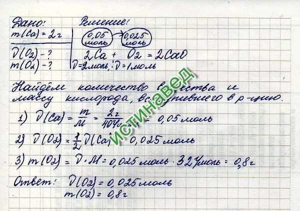
Вес 2 г