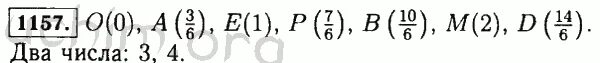
Виленкин 5 класс 6.307