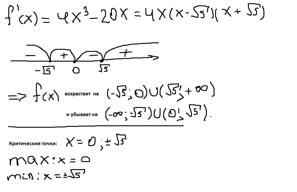
Возрастает на r