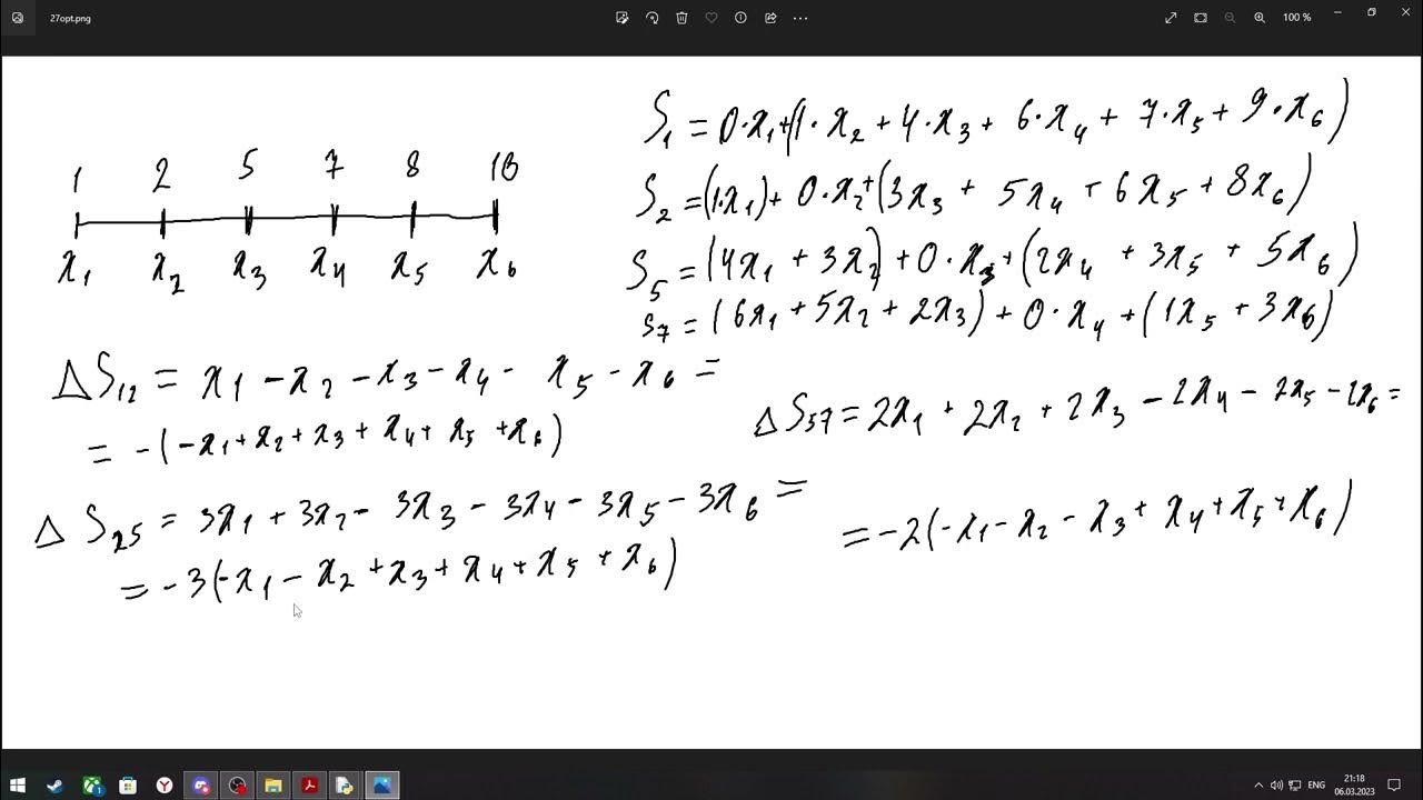
Vpr ma 4 demo 2025